文章快速检索     高级检索
  华东师范大学学报(教育科学版)  2017, Vol. 35 Issue (3): 94-102, 171  DOI: 10.16382/j.cnki.1000-5560.2017.03.010
0

引用本文  

曲铭峰, 张红霞, 陆琪, 吕林海, 万东升, 郁波. 小学科学教师中庸思维与科学观关系的实证研究. 华东师范大学学报(教育科学版), 2017, 35(3): 94-102, 171. DOI: 10.16382/j.cnki.1000-5560.2017.03.010.
QU Mingfeng, ZHANG Hongxia, LU Qi, LÜ Linhai, WAN Dongsheng, YU Bo. Correlation between Zhongyong Thinking and Views of Science among Primary Science Teachers in China. Journal of East China Normal University (Educational Sciences), 2017, 35(3): 94-102, 171. DOI: 10.16382/j.cnki.1000-5560.2017.03.010.

基金项目

江苏省“2011计划““基础教育人才培养模式协同创新”(南京师范大学主持)
小学科学教师中庸思维与科学观关系的实证研究
曲铭峰1, 张红霞1, 陆琪1, 吕林海1, 万东升2, 郁波3     
1 南京大学教育研究院, 南京 210093;
2 江苏第二师范学院教育科学学院, 南京 210013;
3 中国教育科学研究院, 北京 100088
摘要:科学教师的科学观发展深受本土文化影响。基于大样本问卷调查和结构方程模型方法,本研究初步揭示了我国小学科学教师的中庸思维与科学观之间的复杂关系:对于经典科学观,中庸思维三个因子中的“深思熟虑”和“谦让宽容”呈现正效应,而“以和为贵”则大致为负效应;而对于现代科学观,结构方程的因果模型尚难建立。对中庸思维、经典科学观和现代科学观进行的聚类分析显示,教师可分为四大群体:成熟思维群体、科学主义群体、后现代主义群体和能力欠缺群体。科学教师培训须从经典科学做起,循序渐进,对症下药。
关键词中庸思维    经典科学观    现代科学观    后现代科学观    科学观发展    
Correlation between Zhongyong Thinking and Views of Science among Primary Science Teachers in China
QU Mingfeng1, ZHANG Hongxia1, LU Qi1, LÜ Linhai1, WAN Dongsheng2, YU Bo3     
1 Institute of Education, Nanjing University, Nanjing 210093, China;
2 The Second Normal University in Jiangsu Nanjing 210013, China;
3 Chinese Institute of Education Beijing 100088, China
Abstract: Using structure equation model and other models, this study, based on a national survey of primary school science teachers in China, seeks to explore the complex correlation between teachers' Zhongyong thinking and their views of science. It introduces a proxy variable of Zhongyong thinking in Chinese culture into the model, while dividing views of science into the classic one and the modern one. It has been found that: (a) teachers' Zhongyong thinking does not necessarily constitute an obstacle to the development of teachers' views of science; more than 1/3 of the participants developed their Zhongyong and science views synchronously with positive correlation co-efficient; (b) Zhongyong thinking and views of science are both mutually enhanced and offset; (c) about 1/5 post-modernists had higher modern science score than the classic score, which was against the historic process of science; (d) Fourth, there is no positive correlation between Zhongyong thinking and modern views of science. The article concludes with the suggestion that science teacher training in China should start from the stage of classic science, and give different people with different programs. Also, science education programs should be scheduled in line with the historical process instead of "skip-over development".
Key words: Zhongyong thinking    classic views of science    modern views of science    post-modern views of science    development of views on science    
一、 引言

在知识经济和全球化时代,科学教育的重要性毋庸置疑。然而,无论从学生的学习还是从教师的教学来看,我国中小学科学教育都出现了一些难以克服的困难和难以解释的现象。PISA (Program for International Student Assessment) 项目发现,尽管东亚学生的科学成绩在六十多个参与国中常常名列前茅,但学习科学的信心和兴趣排名不佳 (HKPISA Centre, 2011)。教师的教学能力与其学生的学习成绩不存在相关性 (Taiwan PISA National Center, 2015)。这些现象表明,科学知识背后的文化因素在起作用。事实上, 国际科学教育界的大量研究显示,科学教师的科学观发展及其培训的有效性深受传统文化影响 (Wan, Wong, Wei and Zhan 2013)。然而,针对中国教师的相关研究较少;已有的少量研究也主要以西方科学文化为参照系,以一种单向的、改造非西方文化的姿态进行所谓的“跨文化”研究,对中西方文化进行双向、平等考察的研究几乎没有。本文在前人工作基础上将“中庸”作为中国文化的“代理变量”引入模型,对相关问题进行初步探索,以期加深对教师科学观发展规律的认识,对提高教师培训的针对性做出一点贡献。

二、 科学教师的科学观

一个人对于科学本质的认识就是他的“科学观”。鉴于科学史通常分为经典和现代两个阶段,本文将科学观相应地分为“经典科学观”和“现代科学观”。所谓“经典”是指20世纪之前以牛顿机械力学为代表的时代;所谓“现代”是指20世纪以后以爱因斯坦相对论和普朗克、玻尔、海森堡等科学家共同创立的量子力学为代表的时代。量子力学在使人类对物质结构及其相互作用的认识发生了革命性变化的同时,也带来了科学哲学层面上的新问题,如“测不准”现象使人们对观察的客观性和可重复性等经典科学观产生怀疑。而且,这些思考引发了后现代主义哲学学派的兴起。因而与史学界不同,科学哲学界通常将文艺复兴以后的科学思想发展史分为两个阶段:现代与后现代。其中“现代”指的是上述经典科学思想;“后现代”指的是基于量子力学等现代科学思想对经典科学思想的反思。实际上后现代主义思潮多种多样,其中多数有利于促进科学方法的完善,但激进的后现代主义不同,它是解构一切的反科学思潮 (Osborne, 1996)。考虑到后发国家的特点,本研究将科学观分为三种:“经典”的、“现代”的和“激进后现代”(简称“后现代”) 的。“经典科学观”指的是强调科学观察的客观性、科学理论的稳定性、科学方法的统一性等的所谓机械唯物主义观点;“现代科学观”指的是为了更好地发展科学,在肯定经典科学观的基础上对其进行反思的观点;“后现代科学观”指的是激进的解构主义和反科学思潮。

一个人的科学观是其固有文化与新获取的科学文化之间交互作用的产物。如果本土文化中缺乏经典科学的传统,这一文化中,现代科学观的发展将呈现复杂的过程。有一项关于中美科学教师科学观的比较研究发现,中国教师在封闭题上的得分远高于开放题得分。例如,对于选择题:“科学家们对同一现象的观察和推理可能会得出不同的结果”,被调查者在选择“同意”这个正确答案的同时,在对紧随其后的开放题“请你用具体实例谈谈您为什么这样认为”的回答中,却往往表现出概念模糊、甚至截然相反的观点。尽管美国教师在这两种题型上的得分也存在不一致现象,但中国教师不一致的程度远高于美国教师 (万东升, 2014)。本课题组的一项全国性问卷调查研究发现,在过去的十年中,中国小学科学教师在科学知识方面有明显进步,但在科学观方面进步较小,在教学行为上则没有任何进步 (张红霞, 万东升, 郁波, 2013)。这些研究表明,中国科学教师的科学观模糊,理论认知与实践行为不一致,而这种现象在美国教师中较少出现或程度较轻 (Lederman, 1999)。因此,如果我们对这种现象背后的原因不甚清楚,就难以在培训中给教师们提供有效的指导。

基于美国著名科学教育专家Lederman的“现代科学观”理论框架,Liang等在2008年开发了包含六个维度 (观察与推理、科学理论的本质、科学定律与理论、社会文化对科学研究的影响、科学研究中的创造力和想象力、科学方法的多样性) 的量表,并对中美科学教师进行了比较研究。该研究发现,中国教师除了在第一维度“观察与推理”(唯一代表经典科学观的维度) 的得分低于美国人外,其他各项均高于美国人 (Liang, Chen, Chen, et.al, 2008);而“观察与推理”显然是其他各维度的基础。从表面上看,这个结果似乎说明中国教师在有关经典科学基础概念尚未牢固确立的条件下,就可以“跨越式”发展到现代科学观阶段,而实际上则存在另一种可能,即激进的反科学的后现代思潮与中国文化中长于宏观思维和不精于实验理性的传统产生了某种共鸣 (张红霞, 2003),进而导致被调查者在一些反思科学的绝对真理性的问题上得分比美国教师还高的假象。这正是本研究设计将科学观分为经典与现代两种,并纳入同一模型的意义所在。

三、 中庸思维的相关研究

自上世纪80年代以来,中国文化研究在哲学、历史学、心理学领域成果丰硕。学者们提出的能够反映中国文化独特性的概念主要有“中庸”、“自谦”、“仁义”、“忠孝”、“面子”等,但研究的焦点是“中庸”,因为中庸代表了华人行为背后的一种独特思维方式 (吴佳辉,林以正,2005)。中庸“既是儒家的道德标准,又是其方法论原则”,是“儒学的理论基石,代表着儒家文化的根本精髓”(李春青,1996)。

文化心理学家杨中芳等在20年前就指出,“中庸”这个古老概念仍然是最能描述华人社会交往活动精髓的东西,并初步提出了“中庸实践思维”的八个“构念”:大局为重、不走极端、天人合一、以退为进、合情合理、考虑后果、拿捏权变和静观形势 (杨中芳,赵志裕,1997)。台湾大学吴佳辉、林以正 (2005)编制的中庸量表较为简洁,含三个维度:多方思考、整合性、和谐性。近年来杨中芳等综合国内外相关研究结论,对中庸进行了深入系统的研究,提出一个更为完整的“中庸实践思维构念图”。该图将中庸内涵分为“集体文化思维”和“个体心理思维”两个基本层面,而“个体心理思维”层面又可分为“生活哲学”、“个别事件处理”和“事后反省”三个领域。所有领域可以用13个构念表示:两极感知、转换感知、待人守则、拿捏意识、处世信念、预测趋势、思考多面性、抉择整合性、执行和谐性、公我意识、私我意识、生活满意度和安适感 (杨中芳,2010)。进而作者又通过大学生实测数据对这13个构念进行了信效度分析,这一研究深化了对中庸内涵结构的认识。但同时作者也揭示了中庸概念的复杂性,并指出有再思考和修订的空间 (杨中芳,林升栋,2012)。

西方文化心理学界对中庸文化也开展了大量的研究,其研究视角多以西方的辩证法概念来理解中庸。主要研究结论为,中西方的辩证法非常不同,西方的辩证法通常将事物的矛盾对立面先分别进行研究,然后在给定的条件下找出解决矛盾的方法,最后使双方达到新的统一 (Basseches, 1980);而起源于儒、道、释传统,流行于普通大众的东亚辨证思维则以一种接纳的方式对待矛盾、搁置矛盾,让其共存,然后静观其变,因此被称为“朴素辩证法”(Peng & Nisbett, 1999)。

将中庸思维作为自变量的因果关系研究也逐步开始。一项对中国企业员工的研究发现,在中庸思维高分组中,中庸思维与创造力不存在相关关系,而低分组存在显著的正相关 (Yao, Yang, Dong & Wang, 2010)。而一项以美国伯克利大学本科生为研究对象的创造力研究认为,亚裔大学生的朴素辩证思维与创造力不存在显著联系,而两者在白种人大学生中却有一种复杂的联系,即面对矛盾冲突较小的事物时,朴素辩证思维阻碍创新;而面对矛盾冲突较大的情况时,朴素辩证思维与创造力无关或有微弱的正效应 (Paletz & Peng, 2009)。两项研究都揭示了中庸思维作用机制的复杂性和有条件的正效应的存在。导致这些复杂结论的原因多种多样,包括不同研究对中庸思维的操作性定义不同、测量对象不同,以及有些测量工具设置的问题情境并非中庸思维所适用的人际关系范畴,等等。

为了深入探讨中庸思维的特点,除了上述“创造力”外,文化心理学界对其他相关概念如“自我”与中庸思维的关系也有很多有益的探索 (e.g.林东升,杨中方,2006王轶楠,杨中芳,2007)。不过,以“创造力”或“自我”作为因或果来研究中庸思维存在某种局限性,因为它们难以反映西方文化以自然界或客观世界为思维对象的特点。中西方文化的差异不仅在于思维方式上,而且在于思维对象上:中国重人,西方重物。因此,若要研究中西方思维方式的差别必须将思维对象这个因素考虑在内。而科学思维是西方文化以自然界为对象的典型代表。因此,本文以“科学观”为因变量,并将科学观的不同发展阶段因素引入,希望能够加深对科学教育发展过程的认识。

近年来,中国传统文化与科学观之间相互作用的复杂性引起了科学教育界的较多关注。考虑到中国传统文化缺乏近代科学的元素,有研究者提出,中国科学教育应该从经典科学做起,而不是跨越式进入现代科学阶段 (Zhang & He, 2012)。但这种观点缺少实证数据支持。有研究者基于对浙江省十个县市的科学教师科学观的问卷调查数据,在指出了教师科学观培训的低效性和艰巨性的同时,认为科学教育界要立足于中国的社会发展状况和文化语境构建科学教师教育课程,以帮助教师发展正确的科学观 (吴银银, 2011)。由于人的科学观具有明显的文化倾向,中国科学教育不应该只承载科学知识的灌输,而必须承担起科学文化的重建责任 (蔡铁权,陈丽华,2010)。不过,已有研究对中国文化影响科学教师科学观的机制远未涉及,本研究企图对此有所贡献。

具体而言,本文的研究问题是:代表中国传统思维方式的中庸思维在小学科学教师群体中可能由哪些因子构成?代表西方文化的科学观又会表现为怎样的成分和结构?中国科学教师的科学观发展是否与其中庸思维水平有关,哪些因子是正面效应,哪些是负面效应?此外,后现代思潮是否可能与中庸思维产生相互作用而影响科学教师的科学观?

四、 调查与分析方法 (一) 调查对象

本研究以中国小学科学教师为研究对象,调查地区覆盖北京、深圳、浙江、江苏、四川、辽宁、黑龙江、甘肃、青海、内蒙、云南、贵州等21个省市自治区。抽样方法为上述各地区1~2个主要城市的1~2个区的现任小学科学教师。参与调查的教师中,男性占35.4%,女性占64.6%;年龄以31~40岁组为众数。具有本科学历者占63.8%;本科教育为理科专业背景的人数占21.2%。回收有效问卷2005份。

(二) 调查实施

2013年底和2014年初由中国教育科学研究院有关部门协调相关省、市级教育主管部门,利用教师集中开会或培训的机会集体填写、当堂回收。问卷采取匿名形式,回收率为100%,废卷率为1%。

(三) 调查工具的开发和修订

调查问卷的主体包含三个量表:中庸思维量表、经典科学观量表、现代科学观量表。

(1) 中庸思维量表修订。本文所用中庸思维量表是根据前文提及的杨中芳、赵志裕1997年开发的量表改编而成,包含8个维度16对正反迫选题。基于亚洲人格测量中普遍存在的社会期许效应 (Smith, 2004),本研究将原来的7级计分修订为3级计分,要求被试在一对相反题意的题目中选择一题后,再勾选出自己对该陈述的同意程度 (分为:同意、比较同意、非常同意)。而且,对原来的正反计分法也做了简化:选择正向题的三级依次计为4、5、6分 (分别表示:同意、比较同意、非常同意),选择反向题则依次计为3、2、1分。得分越高表示中庸思维水平越高。

(2) 经典科学观量表的开发。基于科学教育界国内外重要文献中关于科学本质的定义,尤其是英国著名科学教育专家的定义 (Osborne, Collins, & Ratcliffe, et.al. 2003),本研究所用量表在张红霞和郁波 (2004)编制的量表基础上修订而成,共含18道题目,3点计分,内容包括5个方面:科研规范、科学实验、客观性、科学交流。得分越高表示经典科学观水平越高。

(3) 现代科学观量表。现代科学观量表引自前文提及的Liang等2007年编制的问卷,共24题,李克特量表5点记分。该量表在经典科学理念的基础上强调科学的相对性、创新性和主观性等现代科学观特征,包含6个维度:观察与推理的复杂关系、科学理论的可变性、科学定律与理论的相对性、社会文化对科学研究的影响、科学研究中的创造力和想象力作用,以及科学方法的多样性。得分越高表示现代科学观水平越高。

无论是中庸量表还是科学观量表,由于其概念内涵的发展性和复杂性 (即量表中有许多题目反映的并非态度而是知识),其内部一致性系数大多较低 (万东升,2015)。本研究的大样本可以使测量误差得到较好的控制。此外,有研究者认为,当量表只用于群体的均值变化估计和相关分析而不做个体评价时,在大样本条件下由信度带来的测量误差不会对研究结果产生实质性影响 (Fosnacht, Gonyea, 2012)。

(四) 数据分析方法

第一步,用SPSS16.0对上述三个量表逐个进行信度检验,在保持量表覆盖维度不变的情况下,逐步删除那些对内部一致性系数 (α) 影响最大的题项,直到信度达到最大值。最后中庸量表共10题 (见图 1),α= 0.59;经典科学观量表11题 (见图 2),α= 0.49;现代科学观量表12题 (见图 3),α= 0.75。现代科学观量表的高信度与其多个题项内涵明显重复有关 (万东升, 2014)。第二步,用SPSS16.0对三个量表进行探索性因子分析,提取特征值大于1条件下的所有因子。第三步,用LISREL 9.0分别对三个量表进行测量模型检验。第四步,用LISREL 9.0分别在中庸思维与经典科学观之间、中庸思维与现代科学观之间构建因果模型。第五步,由于中庸思维与现代科学观之间的因果模型不成立,因而对中庸思维与经典科学观、现代科学观三个变量进行聚类分析以探讨其复杂关系。

图 1 中庸思维量表测量模型 Chi-Square=478.82, df=32, P=0.000, RMSEA=0.083, NNFI=0.85, CFI=0.90
图 2 经典科学观量表测量模型 Chi-Square=241.57, df=38, P=0.000, RMSEA=0.052, NNFI=0.91, CFI=0.94
图 3 现代科学观量表测量模型 Chi-Square=566.09, df=51, P=0.000, RMSEA=0.071, NNFI=0.95, CFI=0.96
五、 中庸思维、经典科学观、现代科学观的因子构成 (一) 中庸思维量表测量模型

通过因子分析发现,中庸思维具有三个因子:深思熟虑、谦让宽容、以和为贵 (KMO=0.72,累积方差解释率为44.8%,如图 1所示)。深思熟虑因子表示行动者根据情境在两种看似对立的状态之间拿捏分寸, 以取得最佳的行动后果 (王轶楠, 杨中芳, 2007)。谦让宽容因子指人与人相处的基本原则:严于律己、宽以待人。以和为贵因子表示人际关系常常可以高于规则和规律。该结果与吴佳辉、林以正 (2005)得出的三个维度 (多方思考、整合性、和谐性) 相比,不同之处在于发现了“以和为贵”因子。“以和为贵”与“谦让宽容”在题目内容上的差异在于,前者主要涉及“人”与“物”的关系,而后者主要是“人”与“人”交往情境下的策略。

(二) 经典科学观量表测量模型

通过因子分析发现,经典科学观含有四个因子:客观性、科学交流、科学实验、科研步骤 (KMO=0.66,累积方差解释率为47.0%,如图 2所示)。客观性因子强调科学与其他知识相比而言的客观性特点,以及由此带来的科学合作目的与其他团体中合作目的的不同之处;科学交流因子也是基于科学客观性特点强调科学交流的目的是发现真理;科学实验因子强调实验思想与探究和观察的联系;科研步骤因子意指科学研究步骤具有基本的共性,尤其强调科学观察是最基本的步骤。

(三) 现代科学观量表测量模型

通过因子分析发现,现代科学观量表具有三个因子:科学理论的相对性、科学方法的相对性、创造性与想象力的作用 (KMO=0.81,累积方差解释率为49.9%,如图 3所示)。科学理论的相对性因子意指科学家的背景知识对其科学观察、解释数据等研究过程会产生一定的干扰;科学方法的相对性因子强调科学方法、规范本身具有一定的灵活性,科学家的个性特点也会对其操作过程产生影响;创造性与想象力因子强调,尽管科学相比于其他知识具有客观性特点,但科学家在研究过程中的主观想象力和创造性也发挥重要作用。

六、 中庸思维与科学观的关系 (一) 中庸思维与经典科学观关系

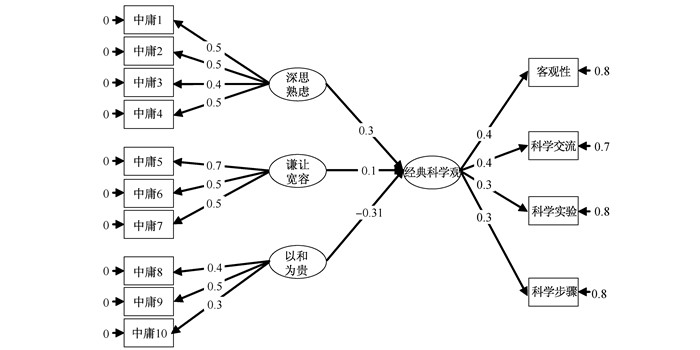
将经典科学观的四个因子作为经典科学观 (潜变量) 的显变量所做出的中庸思维三个因子与经典科学观的因果模型 (见图 4) 反映,“深思熟虑”因子对经典科学观是正效应,路径系数为0.33(显著性水平α < 0.05;T=2.09);“以和为贵”对经典科学观是负效应,路径系数为-0.31,但显著性水平较低 (α=0.20;T=-1.28)。尽管“谦让宽容”也是正效应,但路径系数 (0.17) 和显著性水平 (α=0.24) 都较低。

图 4 中庸思维与经典科学观结构方程模型 Chi-Square=510.57, df=71, P=0.000, RMSEA=0.065, NNFI=0.842, CFI=0.876(图中左列“中庸1……中庸10”所代表的题目具体内容同图 1)
(二) 中庸思维与现代科学观关系

由于结构方程模型分析结果显示出中庸思维与现代科学观之间的因果模型难以成立,因而采取聚类分析方法对调查对象进行分类讨论。用中庸思维、经典科学观、现代科学观三变量在1361个有效样本中,经过67次迭代,聚类出四类人:第一类可称为科学思维与中庸思维融会贯通的“成熟思维群体”,占34%;第二类称为“科学主义群体”,占33%;第三类称为“后现代主义群体”,占19%;第四类称为“能力欠缺群体”,占14%(见表 1)。

表 1 中庸思维和两种科学观聚类分析结果 (Z分数)

表 1中四类人在中庸思维、经典科学观和现代科学观三个量表的得分分布上看,第一类教师三个量表得分都超过平均分,而且中庸思维和现代科学观为四类中的最高分,经典科学观分数在四类中排第二,仅次于科学主义群体。可以推测这类教师已经超越了机械唯物主义阶段,进入成熟的辩证唯物主义科学观阶段。这类教师的中庸思维与经典科学观和现代科学观都应该存在一定的正相关关系。第二类教师中庸思维得分在平均分附近,现代科学观低于平均分,唯有经典科学观出类拔萃,远高于其他类。可以认为,这类教师虽然还没有超越机械唯物主义科学观阶段,但正在向现代科学观阶段发展,因此仍然属于发展良好的群体。第三类教师除了现代科学观高于平均分外,其他两个量表得分都低于平均分,尤其在经典科学观量表上远低于其他三类人。而且,值得注意的是,此类教师的中庸思维得分也低于平均分。可以推论此类教师无论是对西方科学文化的理解还是对本土中庸文化的掌握都存在不足,因此,可以认为,其现代科学观高分现象应该是假象,实际上属于激进的后现代主义者。第四类教师除了具有处于平均分水平的经典科学知识以外,其他量表得分都很低,因此在整体能力上欠缺。此外,表 1中四类人的横向分数比较也验证了结构方程模型获得的结果:总体而言中庸思维与现代科学观不存在相关性,与经典科学观关系较弱。

七、 讨论与推论

通过大样本问卷调查得出如下初步发现:

第一,小学科学教师的中庸思维包含三个因子:深思熟虑、谦让宽容、以和为贵;经典科学观包含四个因子:科学客观性、科学交流、科学实验、科研步骤;现代科学观包含三个因子:科学理论的相对性、科学方法的相对性、创造性与想象力的重要性。对中庸思维、经典科学观和现代科学观进行聚类分析显示,教师可分为四大群体:成熟思维群体 (34%)、科学主义群体 (33%)、后现代主义群体 (19%) 和能力欠缺群体 (14%)。

第二,小学科学教师的中庸思维与科学观不存在简单的相互促进或相互消长的关系。不过对中庸思维进行分析后发现,其中“以和为贵”因子可能与经典科学观存在一定的负效应,而“谦让宽容”和“深思熟虑”因子具有正效应,且后者正效应显著。此外,在科学观发展较好的约占总数2/3的教师群体中,尤其是成熟思维群体中,教师的中庸思维明显高于其他两类 (即后现代主义群体和能力欠缺群体),且呈现出与科学观的正相关关系。

第三,约占1/5的激进的后现代主义者是四类群体中经典科学观得分最低的人群,这与科学发展从经典到现代的历史演进过程相悖。而且,他们的中庸思维得分也低于科学观较好的两个群体。

必须说明的是,本研究只是一次探测性研究,其局限性源于难以避免的较低的测量工具的内部一致性系数。假设上述发现基本可靠,可以得到如下初步推论。

第一,总体而言,教师的中庸思维对其科学观的形成并非一定具有阻碍作用,而且,两种思维都有从朴素到成熟的发展过程。这与常见的关于中国文化阻碍科学发展的断言不同。而且,大约三分之一的成熟思维教师群体的存在说明,在有利的条件下,以自然界为主要对象的科学思维与以人际关系为主要对象的中庸思维可以和谐共处。不过,中庸中的“以和为贵”思维将人际和谐凌驾于法制之上,是当代中国社会中不利于教师科学观形成的主要因素。

第二,教师的中庸思维与现代科学观并非简单的相互促进的关系。那种将现代科学的非线性特点、从学科分化走向学科交叉和综合的特点,与中国传统的缺乏分析和实验思想的整体思维相提并论的观念是似是而非的不实之词。任继愈指出:“从浑沌的统一, 经过近代科学分析的洗礼,再进行综合,这个否定之否定的认识步骤必不可少。”(任继愈, 2001) 与美国科学教师不同,中国科学教师未经过经典科学思想的熏陶,他们在对自然界的认识上持传统的“朴素辩证法”观点,而“朴素辩证法”中并不存在“科学观察”的概念,所以极易与激进的、反科学的后现代思潮产生共鸣。前文所述的某些科学教师在经典科学观上得分很低的情况下却在现代科学观上得分很高,看来确实是一种假象。

第三,中庸思维各维度与科学观的复杂消长关系,以及科学教师的科学观水平和类型的多样性,说明中国科学教师培训要因材施教、对症下药。经典科学观群体是正常发展中的群体,而后现代主义者群体需要补经典科学的课。对于后者,要将中国文化中不同于科学思维的朴素辩证法的不足之处加以剖析和比较,从而帮助这些“天生”具有朴素辩证思维的教师们认识到科学所具有的客观性、统一性、确定性等基本特点。经典科学思想虽然在科学界已经落后,但对于不具有科学文化传统的一些亚洲国家和地区的教育界而言,应该是基础和起点。所以直接引进代表“现代科学观”的美国培训教材,容易与教师尚不清晰的经典科学概念产生冲突,造成概念混乱,甚至助长不严谨、反理性的态度。因此科学教育须从经典科学做起,不可“跨越式发展”。

综上所述,在有利的条件下,作为中国文化之精髓的中庸思维与西方科学文化是可以共存甚至相互促进的。深思熟虑和谦让宽容等人际交往理性与科学文化是基本一致的。但如果滥用“以和为贵”,必将与科学精神相悖。这种复杂关系揭示了科学教师培训在非西方国家的复杂性和艰巨性。中国科学教师培训应该对经典与现代两类内容分别处理;与科学发展史的顺序一致,培训内容要从经典科学起步。

参考文献
蔡铁权, 陈丽华. (2010). 当代科学本质观的文化趋向与科学教育改革. 全球教育展望, 39(7), 83-88.
李春青. (1996). 论"中"在儒学思想中的核心位置. 北京师范大学学报 (社会科学版), 32(2), 70-78.
林东升, 杨中方. (2006). 自我是一分为二的吗?——以西方自我图式的研究为例. 心理学探新, 26(3), 43-47.
任继愈. (2001). 二十一世纪的中国哲学. 中国哲学史, 9(1), 5-8.
万东升. (2014). 理科师范生朴素科学本质观形成机制的文化根源探讨 (博士学位论文), 南京: 南京大学.
王轶楠, 杨中芳, 等. (2007). 小我争 (护) 面子和"大我"争面子导向关系探讨. 西南大学学报 (社会科学版), 33(6), 20-27.
吴佳辉, 林以正. (2005). 中庸思维量表的编制. 本土心理学研究(24), 255
吴银银. (2011). 初中科学教师科学本质观的调查研究——以浙江省初中科学教师为例. 全球教育展望, 40(3), 82-87.
杨中芳. (2010). 中庸实践思维体系探研的初步进展. 本土心理学研究(34), 3-96.
杨中芳, 林升栋. (2012). 中庸实践思维体系构念图的建构效度研究. 社会学研究, 26(4), 167-186.
杨中芳, 赵志裕. (1997). 中庸实践思维初探. 第四届华人心理与行为科学学术研讨会上的发言, 台北, 1997年5月29-31日.
张红霞. (2003). 建构主义对科学教育理论的贡献与局限. 教育研究, 24(7), 79-84.
张红霞, 万东升, 郁波. (2013). 科学教师科学观十年变化及其与中庸思维的关系. 苏州大学学报 (教育科学版), 1(1), 72-76.
张红霞, 郁波. (2004). 小学科学教师科学观调查研究. 教育研究, 25(11), 68-73. DOI:10.3969/j.issn.1672-5727.2004.11.051
Basseches M.. (1980). Dialectical schemata: A framework for the empirical study of the development of dialectical thinking. Human Development, 23(6), 400-421. DOI:10.1159/000272600
Fosnacht, K. and Gonyea, R.(2012). The dependability of the NSSE 2012 pilot: A generalizability study. Presented at the Annual Conference of the Association for Institutional Research. New Orlean, Louisiana, June, 2012.
Lederman N.G. (2011). The fourth HKPISA report PISA 2009: Monitoring the quality of education in Hong Kong from an international perspective Hong Kong: Hong Kong PISA Center.
Lederman N.G. (1999). Teachers' understanding of the nature of science and classroom practice:Factors that facilitates or impede the relationship. Journal of Research in Science Teaching, 36(8), 916-929. DOI:10.1002/(SICI)1098-2736(199910)36:8<>1.0.CO;2-R
Liang L., Chen S., Chen X., Kaya O.N., Adams A.D., Macklin M., Ebenezer J. (2008). Assessing preservice elementary teachers' views on the nature of scientific knowledge. A dual-response instrument. Asia-Pacific Forum on Science Learning and Teaching, 9(1), 1-20.
Osborne J.F. (1996). Beyond constructivism. Science Education, 80(1), 53-82. DOI:10.1002/(SICI)1098-237X(199601)80:1<>1.0.CO;2-Y
Osborne J.F., Collins S., Ratcliffe M., et al. (2003). What "ideas-about-science" should be taught in school science? A Delphi study of the expert community. Journal of Research in Science Teaching, 40(7), 692-720. DOI:10.1002/(ISSN)1098-2736
Paletz S.B., Peng K. (2009). Problem finding and contradiction: Examining the relationship between naive dialectical thinking, ethnicity, and creativity. Creativity Research Journal, 21(2), 1-13.
Peng K., Nisbett R.E. (1999). Culture, dialectics, and reasoning about contradiction. American Psychologist, 54(9), 741-754. DOI:10.1037/0003-066X.54.9.741
Smith P.B. (2004). Acquiescent response bias as an aspect of cultural communication style. Journal of Cross-Cultural Psychology, 35(1), 50-61. DOI:10.1177/0022022103260380
Taiwan PISA National Center, (2011). Taiwan PISA 2009 Short Report[EB/OL]. http://pisa.nutn.edu.tw/download/data/TaiwanPISA2009ShortReport.PDF.2016-6-13
Wan Z.H., Wong S.L., Wei B., Zhan Y. (2013). Focusing on the classical and contemporary? Chinese science teachers' conceptions of nature of science content to be taught to pre-service science teachers. Research in Science Education, 43(6), 2541-2566. DOI:10.1007/s11165-013-9372-z
Yao X., Yang Q., Dong N., Wang L. (2010). Moderating effect of Zhong Yong on the relationship between creativity and innovation behavior. Asian Journal of Social Psychology, 13(1), 53-57. DOI:10.1111/ajsp.2010.13.issue-1
Zhang H., He H. (2012). Student perceptions of the integrated 'science education' major in some Chinese universities. International Journal of Science Education, 34(13), 1991-2013. DOI:10.1080/09500693.2012.709332