文章快速检索     高级检索
  华东师范大学学报(教育科学版)  2014, Vol. 32 Issue (1): 11-19  
0

引用本文  

周兢, 李传江, 杜丽君, 王飞霞, 陈思, 张莉. 新疆学前双语教育情境中民族儿童的汉语发展研究. 华东师范大学学报(教育科学版), 2014, 32(1): 11-19.
ZHOU Jing, LI Chuanjiang, DU Lijun, WANG Feixia, CHEN Si. The Development of Mandarin Acquisition of Uygur Children in Bilingual Preschools in Xinjiang. Journal of East China Normal University (Educational Sciences), 2014, 32(1): 11-19.

基金项目

教育部人文社会科学重点研究基地重大项目“新疆学前儿童汉语读写能力萌发与早期汉字习得”(11JJD740024)
新疆学前双语教育情境中民族儿童的汉语发展研究
周兢1,2, 李传江2, 杜丽君2, 王飞霞2, 陈思2, 张莉2     
1 华东师范大学中国文字研究与应用中心, 上海 200062;
2 华东师范大学学前教育与特殊教育学院, 上海 200062
摘要:本研究以新疆学前双语幼儿园384名维吾尔族儿童为研究对象,通过国际通用儿童语言研究工具和汉语语料库研究方法,探讨新疆学前双语教育情境中民族儿童的汉语发展现状。研究发现了学前民族儿童汉语学习呈现不断递升的发展图景,在汉语理解性语义和表达性语义、叙事语言和学业语言,以及汉语平均语句长度等方面逐渐发展的态势,报告了学前民族儿童汉语入学准备的良好前景;根据学前民族儿童汉语语言学习与发展规律,对新疆学前双语教育提出了整合有序的教育模式的建议;同时针对学前民族儿童与汉语为母语儿童之间的汉语语义发展差距,建议新疆学前双语教育重视引入早期阅读理念和图画书资源,为民族儿童的汉语学习构建高质量的语言输入过程。
关键词新疆    学前民族儿童    汉语发展    
The Development of Mandarin Acquisition of Uygur Children in Bilingual Preschools in Xinjiang
ZHOU Jing1,2, LI Chuanjiang2, DU Lijun2, WANG Feixia2, CHEN Si2     
1 Center for Chinese Research and Application, East China Normal University, Shanghai 200062;
2 Preschool and Special Education School, East China Normal University, Shanghai 200062
Abstract: This study explores the development of Mandarin acquisition of Uygur children in Xinjiang. Participants are 384 Uygur children aged from three to six randomly selected from 24 local bilingual kindergartens. PPVT, EVT and other language tools are applied to assess children's language development. Children′s development of MLU, as well as other measurement, is also examined through electronic language database analysis (CHILDES). Findings show a development profile that children's receptive language, expressive language, narrative language, academic language and MLU gradually develop with ages. Result also indicates that there are some characteristics of young Uygur children in learning Mandarin Chinese. Therefore, suggestions are made to promote early bilingual education in Xinjiang as follows. First, an integrative and balanced model could be adopted for bilingual environment of preschool education; Second, attention should be paid to introduction of reading and picture books at the early age due to the gap of Mandarin acquisition between ethnic preschool children and Han children; Third, a high quality Mandarin language input process should be built for ethnic minority Children.
Key words: Xin Jiang    Preschool Ethnic Children    Mandarin Development    
一、研究背景

近年来, 双语儿童的发展与教育已成为国际儿童语言研究的特别关注。由于全球化趋势导致的不少国家人口流动活跃和规模化的态势,打破了传统有关双语概念和双语教育认知的局限。研究者发现了发展迅速的社会环境中,儿童的双语乃至多语的学习环境已经成为客观存在;非平衡的双语或多语输入,使得人们必须考虑儿童语言学习与发展的某种取舍;所处社会环境的通用标准语言,是儿童学习和交流的最重要途径,这是多元文化和多语言学习者不可回避的客观环境。新“门槛理论”提出,当儿童的双语能力突破一定的“门槛”水平后,使用两种语言对儿童认知和其他方面带来的挑战将转化为优势,积极影响儿童发展的认知水平和学业水平。教育神经科学的发展促进了有关早期双语学习的研究,让我们看到早期双语学习者大脑可塑性的增强,双语调节脑部的相关功能和实现脑功能重塑和再组织的效果。与此同时,有关研究者还指出,双语教育是一项综合性的任务,所有的环境因素包括儿童家庭环境、获得的语言输入、教育机构情境等因素,都会对儿童双语发展及认知、学业发展产生影响;而良好的双语教育环境和高质量的教育支持,才能真正提供机会帮助儿童将学习的语言转化为发展优势,促进他们的学业水平发展。

事实上,我国政府近年十分重视少数民族地区学前儿童的双语教育。在我国教育中长期改革与发展规划中,将新疆这个多民族地区的学前儿童双语教育纳入国家计划予以重点投入。新疆少数民族学前儿童双语学习与教育,重在帮助少数民族儿童在早期形成可持续发展的良好基础,获得终身学习的起点经验。少数民族儿童汉语发展与教育问题,已经超越语言自身的意义,成为新疆少数民族儿童发展的重要保障,同时具有解决处境不利儿童早期教育公平机会,提高国家21世纪人力资源竞争力的重大战略意义。在国家和地方加大公共财政投入,农村学前双语教育幼儿园得到迅速建设和发展,少数民族儿童达到学前两年入园率90%以上的时候,研究新疆学前双语教育情境中民族儿童汉语发展现状,对探讨新疆学前双语教育质量提升,具有十分重要的价值。

有关儿童语言发展的研究方法,在近年国际国内的研究中也已获得长足的进步。重新审视儿童语言学习与发展,儿童的语言获得不再拘泥于词汇与句子的习得,理解性词汇语义和表达性词汇语义,儿童平均语句长度和平均最长的5个语句的长度,儿童叙事语言发展水平评估,儿童学业语言发展水平评估等等,都纳入了研究者全方位评价儿童语言的发展水平的视野。与此同时,语料库研究方法,通过计算机处理分析儿童语言已经逐渐成为国际儿童语言学界通用的方式。在计算机技术飞速发展的时代,CHILDES(国际儿童语言语料交换系统)的建立,使得不同语种的研究者在研究方法和技术上得到了跨越式的发展,通过标准数据处理程序轻松地对儿童语言进行复制、编辑和分析,中文儿童语言研究可以直接运算分析中文儿童语料。

扫描国际国内儿童语言研究,有关汉语儿童双语或者少数民族儿童双语发展研究成果,一直处于缺位状态。因此,本研究采用国际通用的儿童语料库研究方法,并综合采用一系列儿童语言发展评估工具与手段,研究新疆学前双语教育情境中民族儿童汉语学习与发展的现状,试图寻找民族儿童学习汉语的规律特点,为新疆学前双语教育提供切实可供参考的依据。

二、研究方法 1. 被试选择

本研究选取乌鲁木齐市和托克逊县12所公立幼儿园4—6岁维吾尔族学前儿童384名,男女按照1:1比例抽取。(1)每个班级随机抽取8名维吾尔族儿童,所选班级均为少数民族和汉族儿童混合班级,共计48个班级。(2)抽测班级实行汉语教学,儿童在幼儿园接触到的语言以汉语为主。(3)由班级中汉语教师随机选取少数民族儿童,抽取儿童前未告诉老师测查内容,仅告知选取原则:①小班抽取年龄为48个月(4岁组),中班抽取年龄为60个月(5岁组),大班抽取年龄为72个月(6岁组),上下浮动3个月。②民族儿童汉语水平正常,能够代表班级基本水平,不可以选择水平过低或过高的儿童。儿童所在幼儿园根据当地教育主管部门评定的级别,有城市示范幼儿园、城市普通幼儿园、乡镇示范幼儿园、城郊务工家庭子女的幼儿园等不同层次。

2. 测查工具

(1) 汉语接受性词汇测验:选用毕保德图片词汇测试修订版(Peabody Picture Vocabulary Test-R,陆莉,刘鸿香,1994)测查儿童汉语接受性词汇即理解性语义发展水平。该测试向儿童呈现每页四幅图片,施测者说出目标词汇,儿童需要指出四幅图中哪一幅代表目标词汇。

(2) 汉语表达性词汇测验:选用儿童表达性词汇测试量表(Expressive Vocabulary Test,Williams,1997,华东师大儿童语言研究中心翻译和改编)测查被试儿童的表达性语义发展水平。在这一测试中,前38题是向儿童出示图片并提问“这是什么”,儿童说出的词汇需要代表图画的内容;后66题是根据图片和施测者提供的词汇,儿童需要说出同义词。

(3) 汉语叙事语言发展水平测验:选用Schneider等人编制的The Edmonton Narrative Norms Instrument(ENNI),通过图画故事阅读理解与表达评估儿童叙事语言发展水平。该测试是由A和B两个平行的部分组成,每个部分由三个由浅入深的无文字连环画故事构成。测试中儿童自主阅读图画故事5分钟,然后依次复述3个故事并录音,之后施测者根据三个不同的故事,依次用汉语向儿童提问测量儿童对阅读的理解程度。

(4) 汉语学业语言发展水平测验:汉语学业语言测量工具由哈佛大学教育研究院研究团队与华东师大儿童语言研究中心基于“英语儿童学业语言发展水平测试”共同研发,已有部分中国常模数据。测试关注儿童对学业语言中的指代关系、修饰限定关系、逻辑关系的理解程度。

3. 语料收集

本研究在测查的同时,通过让儿童阅读图画书和图片后进行讲述,收集到380名民族儿童每人4个片段的汉语语料。后期将录音中儿童讲述的言语按照“国际儿童语言研究系统”(CHILDES)进行转录编码,编码后的文件用CLAN程序进行处理,获得有关儿童语言发展的平均语句长度和最长5句话语平均语句长度等分析结果。

三、研究结果 1. 学前民族儿童的汉语理解性与表达性语义发展

词汇语义是儿童语言能力的基础,分为理解性语义与表达性语义两个方面,分别指儿童能够辨认和理解的单词或者能用正确发音表达的单词。词义的理解是儿童正确使用和理解语言的基础,是语言发展中极为重要的方面。

研究者采用汉语理解性词汇测验和汉语表达性词汇测验,考察新疆学前双语教育情境中民族儿童汉语理解性与表达性语义发展现状。下图 1—2可以看出,4—6岁少数民族儿童的理解性语义和表达性语义发展水平随着年龄变化而逐渐提高;方差分析结果显示不同年龄之间少数民族学前儿童的汉语理解性和表达性语义能力具有显著差异(F(2, 374)=72.291,P < 0.001,ω2=0.275)。研究结果同时指出,民族儿童的理解性语义能力发展在5—6岁有显著提升的态势;而4—6岁少数民族儿童的表达性语义能力一直呈现稳步增长趋势。研究结果可能预示,在现有的新疆学前双语教育情境中,5岁至6岁是民族儿童汉语词汇语义比较快速习得成长的阶段。

图 1-2 新疆少数民族学前儿童理解性词汇与表达性词汇测验得分示意图

进一步分析新疆学前民族儿童汉语的理解性语义和表达性语义的发展趋势,研究结果报告儿童的理解性语义水平和表达性语义水平之间具有显著的高相关关系(R=0.772,P < 0.001);同时儿童理解性语义水平对他们的表达性语义发展具有显著的预测作用,变异解释量为59.6%;以Y表示儿童的表达性语义能力,X表示儿童的接受性语义能力,线性方程为:Y=0.778X+8.614;分析结果说明从4—6岁整体来看,新疆少数民族学前儿童汉语理解性和表达性语义能力呈线性发展趋势。

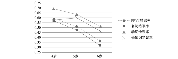
此外,研究结果还报告了民族儿童理解性语义PPVT测验中,不同类型词汇的错误率情况(见图 3)。研究者对理解性语义测验工具125题做了词类上的划分,统计了每位儿童的PPVT总错误率、名词词类错误率、动词词类错误率和修饰词类错误率,发现了下图的错误率结果。总体上看,在民族儿童汉语理解性和表达性语义逐渐上升发展过程中,他们的理解性语义错误率由4岁的58.95%降低到6岁的36.50%,降幅为22.45%,说明随年龄增长学前儿童对实词的理解程度在不断提高;在各种类型实词习得过程中,名词错误率由4岁的56.62%降低到6岁的31.53%,降幅为25.09%,表明民族儿童的名词错误率相对较低且错误率下降速度较快;儿童的动词错误率由4岁的69.10%降低到6岁的51.02%,降幅为18.98%,让我们看到民族儿童随年龄增长对动词的掌握程度有所提高,但错误率仍然在50%以上。上述结果证明儿童对汉语实词类型习得较早,而名词习得的比例最高的已有结论规律;同时,动词错误率问题引发我们思考少数民族儿童汉语学习的特点规律。

图 3 新疆不同年龄少数民族学前儿童PPVT各词类的错误率统计

值得我们关注的一点是,4—6岁新疆学前双语教育情境中的民族儿童理解性语义和表达性语义发展水平,三组儿童平均得分为9.18,15.80,32.38和9.47,22.31,37.46;与研究匹配测查的上海汉语为母语儿童的三组得分相比较,上海儿童三组得分为理解性语义30.50,45.45,70.95,表达性语义42.93,47.10,56.75。这样的结果可能提示我们,双语教育不是一蹴而就的工作,一方面少数民族儿童进入双语教育的开端阶段,他们的学习存在一定的难度;另外一方面也提醒我们语义的理解滞后于语义表达,是否质疑双语教育环境中的语言输入数量和质量问题。

2. 学前民族儿童的汉语看图叙事语言发展

儿童叙事语言发展,是指儿童讲述自己生活中故事或者看图讲述故事的语言经验的成长。叙事语言测验,考察的是儿童能否具备脱离语境的语言能力,能否清楚有条理地叙述一个故事,特别关注故事叙述的基本结构要素。本研究采用ENNI工具,通过无字的图画测查儿童阅读理解故事与使用叙事语言表达水平。

首先考察民族儿童看图叙事的汉语故事语法结构水平(见图 4)。情境设置、故事开端、内心动态、故事发展、故事结果和角色反应被认定为六个故事叙述结构要素,研究发现,三个年龄组民族儿童在看图叙述的这六个要素方面,故事结构水平呈现出随年龄增长不断提高的发展趋势;儿童在4—5岁之间汉语叙事故事结构水平的发展速率高于5—6岁之间;同一年龄段组儿童之间个体差异明显;儿童看图叙事故事结构水平在4岁组与5岁组、5岁组与6岁组、4岁组与6岁组三个年龄组之间均存在着显著差异(事后检验Dunnett T3,P < 0.05)。

图 4 不同年龄新疆民族儿童汉语看图叙事故事语法结构点得分率均值比较

在六个看图叙事结构要素之中,研究发现民族儿童有关角色内心动态的结构要素习得较迟且发展速度慢。分析数据结果表明,四岁组的儿童在叙事的内心动态语法结构要素上基本没有得分,五岁组和六岁组略有发展(见图 4)。这个结果与国内外已有研究结论一致,儿童叙事过程中描述角色内心活动的现象出现较晚;一方面说明儿童阅读图画故事的理解遵循着由图画形象—事件行动—角色状态的发展顺序,同时也证明阅读图画故事和叙事角色内心动态受到心理理论发展水平的制约。

其次,研究发现新疆民族儿童习得较早的是故事开端、故事发展和故事结果三个结构要素。如图 4图 5,儿童在看图叙事的讲述过程中,较早也较为频繁出现有开端、有发展、有结果的故事叙事。六岁时50%以上的民族儿童能够提及叙事故事的开端、故事发展和故事结果。该项发现验证了国际国内有关儿童早期叙事语言发展存在着核心结构要素的研究结果,同时认为讲出故事开端、故事发展和故事结果,是民族儿童早期汉语叙事讲述学习的核心结构能力。

图 5 不同年龄新疆民族儿童汉语看图叙述故事核心语法结构点比较

此外,研究者还发现,看图叙事内容对民族儿童叙事水平存在着一定影响。本研究采用三个分别围绕A1球、A2游泳池和A3玩具飞机展开内容的图画故事,这三个无字图画故事的内容复杂程度有依次逐步提升倾向。根据故事结构水平得分的赋值要求,儿童应在正确阅读认知无字图画内容基础上进行讲述。分析结果显示(见图 6),儿童得分率较低的是第二个故事,而不是复杂程度最高的第三个图画故事。据此我们认为,对生活在新疆地区的儿童来说,有关游泳池的生活经验可能比较少,因而导致研究结果的地区文化差异。

图 6 不同年龄新疆民族儿童在三个图画故事讲述中的得分率均值比较
3. 学前民族儿童的汉语学业语言发展

早期儿童的学业语言是通过口头语言进行交流,但是具有书面语言特征的语言,呈现出比较简洁、明确、客观和有逻辑的特点,需要儿童在语言学习和使用过程中逐渐理解语言中某些特定关系词汇,并尝试使用这些词汇来连接组织复合句式,并理解和表达语言内容上下文意义。本研究采用的早期儿童学业语言测验重点考察儿童对指代关系词汇、限定修饰关系词汇、关联词所代表的句子逻辑关系的理解,同时要求幼儿观察图片画面,进行说明性讲述,以此考察他们的学业语言习得现状。

表 1展示了新疆学前民族儿童汉语学业语言测查的结果。对汉语作为第二语言的儿童来说,他们开端阶段的学业语言学习发展显然存在困难,但是仍然有随着儿童年龄增长而逐步提升的态势;研究同时发现了个体差异较大的发展现状,表明学业语言的早期习得可能与儿童在教育机构之外的生活环境有一定的关系。

表 1 各年龄组新疆学前民族儿童汉语学业语言测评得分情况

从学业语言的各部分得分情况看,民族儿童在测查的前三个部分,即指代关系词汇、限定修饰关系词汇和关联词汇与句子逻辑关系几个方面,学业语言发展都呈现出了统一的上升态势。但是,民族儿童对汉语指代关系词汇的理解得分明显低于其它两个部分。

汉语学业语言测查的第四部分,让民族儿童观看苹果和皮球的图片,分别进行说明性讲述。从图 7中我们看到民族儿童运用汉语学业语言讲述的能力随年龄增长呈现显著增长的趋势,特别是经历一年以上的学前机构双语教育课程学习,他们讲述的角度和范围都有较大范围的拓展。与此相关的现象是,在儿童的汉语说明性讲述中,4岁儿童基本还不使用复合句;5岁儿童汉语说明性讲述使用复合句的比例有了较大的变化;6岁儿童的汉语说明性讲述,所使用的复合句比例占平均最长5句话的11.36%。而民族儿童学业语言测验前三部分总分和说明性讲述的得分两者之间的相关系数达到0.72。这些结果让我们确信,民族儿童的汉语学业语言将在学前双语教育情境中获得良好发展的前景。

图 7 学前民族儿童说明性讲述与平均语句长度等语言要素发展分析
4. 学前民族儿童的平均语句长度发展及相关分析

如前所述,在国际儿童语言研究范畴中,平均语句长度(MLU)和最长5句话语的平均长度(MLU5),已成为公认的儿童句法发展非标准化评量的主要工具,同时在一系列儿童汉语发展研究中得到证实。本研究借此对学前民族儿童的语料进行运算分析,并获得一些研究结果。

有关学前民族儿童在叙事语言任务中的汉语看图讲述,语料分析儿童汉语句法发展水平有迅速增长的发展趋势(见图 8)。在叙事讲述中,4岁组儿童的平均语句长度均值分别为0.767,平均最长5句话长度均值为1.397;5岁组儿童的平均语句长度均值和平均最长5句话长度均值增长接近了4倍;6岁组儿童的平均语句长度均值增长为5.149,平均最长5句话长度均值为9.493。值得我们关注的是,民族学前儿童的在学业语言情景中的说明性讲述,在逐渐提升的发展态势下,有着不同于叙事讲述语言的发展速率(见图 8)。这个结果从另一个角度证明,早期儿童学业语言的学习难于叙事语言,学业语言的发展速率与叙事语言并不同步,这点需要教育工作者予以充分重视。

图 8 学前民族儿童说明性讲述和叙事性讲述的MLU和MLU5分析

与此同时,学前民族儿童的语言发展各个方面成绩的相关分析告诉我们(见表 2),这些儿童在不同年龄阶段的理解性与表达性词汇发展水平,平均语句长度与最长5句话语的平均长度,他们的叙事语言发展水平和他们的学业语言发展水平,都存在着显著相关的关系,证明了在学前双语教育情境中的民族儿童语言学习,有着整体一致互为支撑的发展过程。

表 2 新疆民族儿童各语言能力间的相关(控制年龄因素)
四、研究结论

第一,新疆学前双语教育情境中民族儿童汉语学习呈现不断递升的发展图景。

分析新疆民族学前儿童汉语学习与发展的研究结果,我们可以明确看到一个多方面不断递升的汉语习得发展图景。民族儿童的汉语理解性语义和表达性语义发展水平随着年龄变化而逐渐提高;存在着与汉语为母语儿童相似的实词在先的发展模型;同时随着年龄的增长,民族儿童汉语词汇理解和运用的错误率出现逐渐下降的趋势。民族儿童的叙事语言发展水平,在叙事故事结构各个要素习得和运用方面有着非常清晰的发展态势,存在着几个属于学前阶段特征的叙事核心能力构建过程;同时他们运用汉语讲述的水平也在教育情境中不断提升。民族儿童的汉语学业语言发展水平,在学前阶段学业语言核心能力的几个要素,如指代关系词汇、限定修饰关系词汇和关联词语与句子逻辑关系方面,以及学业语言运用于说明性讲述句法等语言水平逐渐提高的表现,都预示了民族儿童的汉语学业语言将在学前双语教育情境中获得良好发展的前景。通过语料库方法分析的民族儿童平均语句长度和最长5句话语的平均语句长度,都在组间差异水平显著的状态下反映了民族儿童汉语句法水平不断发展的趋势。

我们认为,新疆学前双语教育情境中的民族儿童汉语学习,已经获得了一个良性发展的前景。经过学前阶段双语教育的民族儿童,将为入学后使用汉语进行的正式学业教育做好准备,也为他们的终身学习和发展打下坚实的基础。

第二,新疆学前双语教育情境中民族儿童的汉语学习需要整合有序的教育模式。

研究结果明确提示我们,新疆学前双语教育情境中民族儿童的汉语学习,是在整合的状态下逐步习得发展的。汉语是民族儿童的第二语言,在他们来到幼儿园之前,他们每天在家里与父母家人互动已经获得了达到一般交流使用水平的母语,来到幼儿园学习汉语的同时,他们仍然保持着与周围的母语互动交往的环境。儿童原有的母语可能成为他们学习汉语的“门槛”,支持他们跨过这道门槛进入汉语学习的良性状态。值得我们关注的是,研究已经展示出作为第二语言的汉语学习,民族儿童的语言发展在理解性语义和表达性语义、句法结构、叙事能力和说明能力等各个方面,都有着良好的发展态势。这样的研究结论进一步证实了儿童语言发展的整体性特点,即使在民族儿童第二语言汉语学习方面也不例外。教育可以从中获得的重要信息是,第二语言的学习也必须遵从儿童语言学习的规律,不能将儿童局限在单词和句型的框架中机械枯燥地学习。

研究结果告诉我们,新疆学前双语教育情境中的民族儿童汉语学习,在考虑整合一体学习的同时还应当考虑有序的问题。这个有序是民族儿童汉语学习的特点和发展规律。比如,研究结果报告新疆民族儿童的叙事语言发展与学业语言发展速率不同步。虽然学前民族儿童的说明性讲述句法水平也在逐渐提升,但是不同于叙事讲述语言的发展速率。这个结果从另一个角度证明,早期儿童学业语言的学习难于叙事语言,对于第二语言学习者来说尤其困难。这点需要教育工作者予以充分重视,并在教育情境的课程教学内容和方法的设计组织上予以反映。

第三,新疆学前双语教育情境中民族儿童的汉语学习需要高质量的语言输入过程。

研究在报告民族学前儿童理解性语义和表达性语义逐渐提升发展趋势的同时,也反映出他们汉语的语义发展与汉语为母语的儿童之间的差距。国际有关研究也已证明,双语儿童词汇量在发展过程中可能落后于单语儿童;如果没有获得良好的正规双语教育,双语人口的第二语言水平在词义理解和词汇广度等方面都会明显落后于单一母语人群。因此,民族儿童汉语学习的语义发展水平的提升,可能是新疆学前双语教育的一个瓶颈性问题,必须引起教育研究和教育实践双层面的高度关注。

我们认为,解决新疆学前双语教育情境中民族儿童语义学习与发展的问题,需要教育工作者创设良好的双语教育环境,为民族儿童汉语学习提供高质量的语言输入过程。将早期阅读教育理念和丰富有趣的图画书资源带入新疆学前双语教育,真正做到“为幼儿提供丰富、适宜的低幼读物,经常和幼儿一起看图书、讲故事,丰富其语言表达能力,培养阅读兴趣和良好的阅读习惯,进一步拓展学习经验。”高质量图画书与高质量汉语信息输入与学习过程,将从根本上促进新疆学前双语教育情境中民族儿童的汉语学习与发展。

Baker C. Foundations of Bilingual Education and Bilingualism (4th ed.) Multilingual Matters, Clevedon, 2004.
Baker C. Foundations of Bilingual Education and Bilingualism (4th ed.) Multilingual Matters, Clevedon, 2004;Carlisle J F, Beeman M, Davis L H, Spharim G. Relationship of metalinguistic capabilities and reading achievement for children who are becoming bilingual. Applied Psycholinguistics, 1999, 4: 459—478.
Mechelli A, Crinion J T, Noppeney U, O'Doherty J, Ashburner J, Frackowiak R S, Price C J. Neurolinguistics: structural plasticity in the bilingual brain. Nature, 2004, 431(7010): 757—757;Green D W, Crinion J, Price C J. Exploring cross-linguistic vocabulary effects on brain structures using voxel-based morphometry. Bilingualism, language and Cognition, 2007, 10(2): 189;Grogan A, Green D W, Ali N, Crinion J T, Price C J. Structural correlates of semantic and phonemic fluency ability in first and second languages. Cerebral Cortex, 2009, 19(11): 2690—2698.
Carlisle J F, Beeman M, Davis L H, Spharim G. Relationship of metalinguistic capabilities and reading achievement for children who are becoming bilingual. Applied Psycholinguistics, 1999, 4: 459—478.
周兢、张鑑如:《汉语儿童语言发展研究—国际儿童语料库研究方法的应用与发展》,北京:教育科学出版社,2009年,第6—7页。
陆莉、刘鸿香:《修订皮保德图画词汇测验》,台北:心理出版社,2005年。
Williams K T. Expressive Vocabulary Test. Circle Pines, MN: American Guidance Service,1997.
Schneider P, Dubé R V, Hayward D. The Edmonton Narrative Norms Instrument, 2005. Retrieved [date] from University of Alberta Faculty of Rehabilitation Medicine website: http://www.rehabresearch.ualberta.ca/enni.
Uccelli P, Barr C D. Psychometric report of the academic language evaluation, unpublished report, 2011.
MacWhinney B. The CHILDES project: Computational tools for analyzing talk. Hillsdale, NJ: Erlbaum, 1991.
Haycraft (Ed). Second language reading and vocabulary learning. Norwood, NJ: Ablex, 1978;Nation I S P. Teaching and Learning Vocabulary. New York: Newburry house Publishers, 1990;Laufer B. The Development of Passive and Active Vocabulary in a Second Language: Same or Different? Applied Linguistic, 1998, 2: 255—271.
李宇明:《儿童语言的发展》,武汉:华中师范大学出版社,1995年,第100页。
Stein N L. The development of children's story telling skill. In: Franklin MB, Barten SB, Eds. Child language: A reader. New York: Oxford University Press, 1988, 282—297;Hughes D, McGillivray L, Schmidek M. Guide to narrative language: Procedures for assessment. Eau Claire, WI: Thinking Publications, 1997;李林慧、周兢、刘宝根、高晓妹:《学前儿童图画故事书阅读理解研究》,《中国特殊教育》2012年第1期。
Berman R, Slobin D. Relating events in narrative: A cross-linguistic developmental study. Hillsdale, NJ: Erlbaum, 1994;To C K-S, Stokes S F, Cheung H-T, T'Sou B. Narrative assessment for Cantonese-speaking children. Journal of Speech, Language, and Hearing Research, 2010, 53: 648—669;张放放、周兢:《儿童叙事能力发展研究综述》,《幼儿教育》2006年第6期。
张显达:《平均语句长度在中文的应用》,《听语会刊》1998年第13期;周兢、张鑑如:《汉语儿童语言发展研究—国际儿童语料库研究方法的应用与发展》,北京:教育科学出版社,2009年,第40—45页;辛宏伟:《3—6岁维吾尔族儿童汉语语言发展研究》,上海:华东师范大学博士论文,2011年。
Perani D, Abutalebi J, Paulesu E, Brambati S, Scifo P, Cappa S F, Fazio F. The role of age of acquisition and language usage in early, high-proficient bilinguals: An fMRI study during verbal fluency. Human brain mapping, 2003, 19(3): 170—182;Portocarrero J S, Burright R G, Donovick P J. Vocabulary and verbal fluency of bilingual and monolingual college students. Archives of Clinical Neuropsychology, 2007, 22(3): 415—422;Cheung H, Chung K K H, Wong S W L, McBride-Chang C, Penney T B, Ho C S H. Speech perception, metalinguistic awareness, reading, and vocabulary in Chinese-English bilingual children. Journal of Educational Psychology, 2010, 102(2): 367.
Bialystok E, Feng X. Language proficiency and executive control in proactive interference: Evidence from monolingual and bilingual children and adults. Brain and language, 2009, 2: 93—100;Luk G, Bialystok E, Craik F I, Grady C L. Lifelong bilingualism maintains white matter integrity in older adults. The Journal of Neuroscience, 2011, 31(46): 16808—16813.
李秀湄、冯晓霞:《〈3—6岁儿童学习与发展指南〉解读》,北京:人民教育出版社,2013年,第83页。